Table of Links
2. Financial Market Model and Worst-Case Optimization Problem
3. Solution to the Post-Crash Problem
4. Solution to the Pre-Crash Problem
5. A BSDE Characterization of Indifferences Strategies
Acknowledgments and References
Appendix A. Proofs from Section 3
Appendix B. Proofs of BASDE Results from Section 5
Appendix C. Proofs of (CIR) Results from Section 6
Appendix B. Proofs of BSDE results from Section 5
Proof. (Proposition 27) In view of Subsection 5.1, the generator of the BSDE can be written as

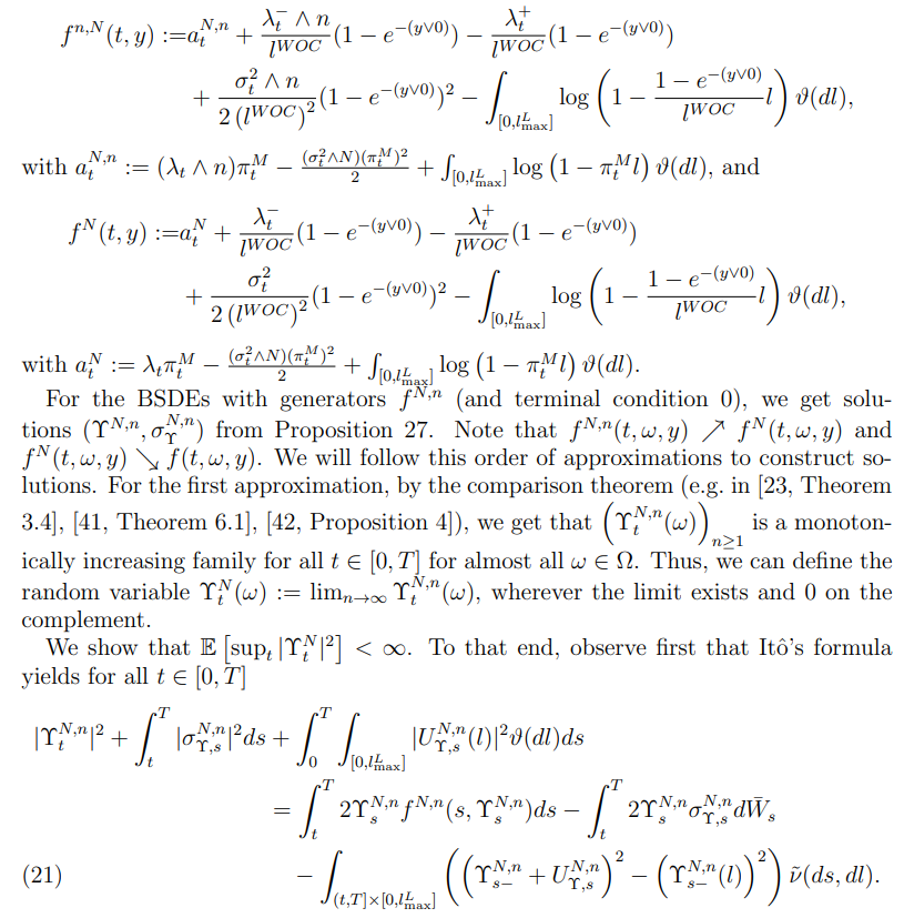
Proof. (Theorem 28) We approximate the generator f by the functions

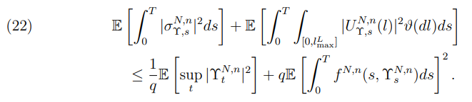
From this equation, we get by taking conditional expectations w.r.t. Ft and using Young’s inequality that for all q ∈ (0,∞

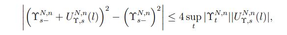
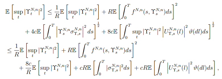
Further, (21) implies, together with Doob’s martingale inequality, Burkholder-Davis-Gundy’s, Young’s inequality and the fact that

that there is a constant c, such that for all R ∈ (0,∞),

where we used Young’s inequality again for the second estimate. Replacing the last term with the help of inequality (22), we arrive at

Now, by dominated convergence we get that for t ∈ [0, T],





Gronwall’s inequality now shows that for r ∈ [t, T]:

The terms can be further estimated by


Authors:
(1) Sascha Desmettre;
(2) Sebastian Merkel;
(3) Annalena Mickel;
(4) Alexander Steinicke.
This paper is available on arxiv under CC BY 4.0 DEED license.
